
Dengan demikian nilai-nilai dari desil yaitu desil ke-1 (D1), desil ke-2 (D2), desil ke-3 (D3) dan seterusnya sampai D9.
1) Desil untuk data tunggal
Nilai D1, D2, D3, dan seterusnya ditentukan oleh letaknya, dengan rumus:

Keterangan:
Di = desil ke-i
i = 1, 2, 3, . . ., 9
n = banyaknya data
Perhatikan contoh soal berikut ini.
Contoh
Diketahui data: 9, 10, 11, 6, 8, 7, 7, 5, 4, 5. Tentukan desil ke-1 dan desil ke-4.
Penyelesaian
Data diurutkan: 4, 5, 5, 6, 7, 7, 8, 9, 10, 11
Letak desil ke-1 diurutan data ke-1/10 (10 + 1)=11/10=1,1
D1 terletak pada urutan ke-1,1 sehingga: D1 = x1 + 0,1 (x2 – x1).
Jadi D1 = 5 + 0,1 (5 – 4) = 5 + 0,1 = 5,1.
Letak desil ke-4 diurutan data ke-4/10 (10 + 1)=44/10=4,4
D4 terletak pada urutan ke-4,4 sehingga: D4 = x4 + 0,4 (x5 – x4).
Jadi D4 = 6 + 0,4 (7 – 6) = 6 + 0,4 = 6,4
2) Desil untuk Data Berkelompok
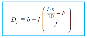
Nilai desil ke-i dari data bergolong dirumuskan sebagai berikut.

Keterangan:
D = desil ke-i
n = banyak data
F = frekuensi kumulatif kelas sebelum kelas desil
f = frekuensi kelas desil
b = tepi bawah kelas
l = lebar kelas
Untuk lebih jelasnya, perhatikan contoh soal berikut ini.
Contoh:

Dari data di atas tentukan:
a. desil ke-2
b. desil ke-9
Penyelesaian:

a. Letak D2 = (2/10).40 =8, yaitu pada data ke-8 dan kelas D2 = 50 – 59 sehingga diperoleh:
b. Letak D9 = (9/10).40 = 36, yaitu data ke-36 dan kelas D9 = 80 – 89 sehingga diperoleh:
Latihan soal:
- Tentukan D1, dan D6 dari data: 4, 5, 5, 6, 6, 7, 8, 9, 10.
- Hitunglah D4 dan D7 dari data berikut. 10, 13, 9, 14, 17, 9, 21, 19, 19, 22, 35, 23, 25, 35, 47, 33, 25, 39, 43, 29
- Carilah D1, D3, dan D9, dari data berikut.
10, 13, 9, 14, 17, 9, 21, 19, 19, 22, 35, 23, 25, 35, 47, 33, 25, 39, 43, 29 - Tentukan D1, D2, dan D5 dari data: 2, 5, 4, 6, 3, 4, 8, 4, 9, 12, 6, 3, 11, 7, 2
- Tentukan D1 dan D7 dari data berikut ini.
